QUESTION 9

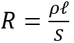
La résistance d’un fil conducteur de longueur L, de résistivité ρ et de section S a pour expression .
Donnez l’unité de ρ.

REPONSE

[waiting name="chrono 30s"]
[timed-content-client show="0:31:0" display="div"]Ρ est en Ώ.m[/timed-content-client]