Skip to content

VOTRE ESPACE DE REVISION EN LIGNE

VOTRE ESPACE DE REVISION EN LIGNE

    QUESTION-9-FONCTION EXPONENTIELLE

    QUESTION 9

    x désigne un réel strictement positif.
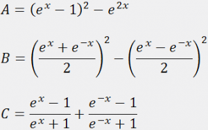
    Simplifie les expressions suivantes :

    QUESTION-9-FONCTION EXPONENTIELLE

    x désigne un réel strictement positif.
    Simplifie les expressions suivantes :


     

    RETOUR AUX QUESTIONS

    Afficher la réponse
    Retour aux Questions
    Retour aux Chapitres
    Retour aux Matières

    © All Copyright 2023 by Eduact