QUESTION 8
Choisis la bonne réponse.
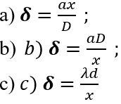
Dans le dispositif interférentiel de Young et pour des sources en phase distantes de a, la différence de marche en un point d’abscisse x de l’écran d’observation perpendiculaire au plan médiateur des sources et situé à la distance D du plan des sources est donnée par :
QUESTION-8-Interférences lumineuses
Choisis la bonne réponse.
Dans le dispositif interférentiel de Young et pour des sources en phase distantes de a, la différence de marche en un point d’abscisse x de l’écran d’observation perpendiculaire au plan médiateur des sources et situé à la distance D du plan des sources est donnée par :

