QUESTION 7
Soit f la fonction définie par :
![]()
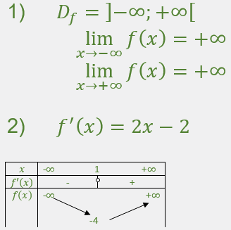
1) Déterminer l’ensemble de définition
de f puis étudier les limites de f aux bornes de
.
2) Calculer f'(x) puis établir le tableau de variation de f.
QUESTION-7-ETUDE DE FONCTION
Soit f la fonction définie par :
![]()
