Skip to content

VOTRE ESPACE DE REVISION EN LIGNE

VOTRE ESPACE DE REVISION EN LIGNE

    QUESTION-62-ANALYSE : DERIVABILITE

    QUESTION 62

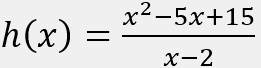
     h est la fonction définie par :

    Que vaut h'(x) ?

    QUESTION-62-Analyse : DERIVABILITE

    h est la fonction définie par :

    Que vaut h'(x) ?

     


     

     

    RETOUR AUX QUESTIONS

    Afficher la réponse
    Retour aux Questions
    Retour aux Chapitres
    Retour aux Matières

    © All Copyright 2023 by Eduact