QUESTION 61
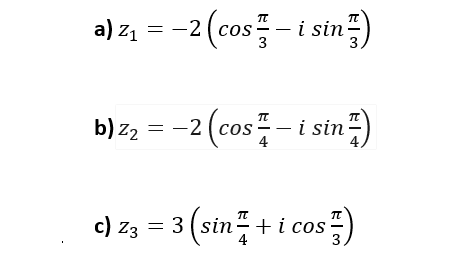
Les écritures suivantes sont-elles sous forme trigonométrique si non les transformer pour obtenir une écriture trigonométrique.
QUESTION-61-Les nombres complexes
Les écritures suivantes sont-elles sous forme trigonométrique si non les transformer pour obtenir une écriture trigonométrique.

