Skip to content

VOTRE ESPACE DE REVISION EN LIGNE

VOTRE ESPACE DE REVISION EN LIGNE

    QUESTION-60-Les nombres complexes

    QUESTION 60

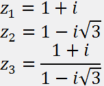
    Ecris les nombres complexes suivants sous formes trigonométriques et exponentielles:

    QUESTION-60-Les nombres complexes

    Ecris les nombres complexes suivants sous formes trigonométriques et exponentielles :



     

    RETOUR AUX QUESTIONS

    Afficher la réponse
    Retour aux Questions
    Retour aux Chapitres
    Retour aux Matières

    © All Copyright 2023 by Eduact