Skip to content

VOTRE ESPACE DE REVISION EN LIGNE

VOTRE ESPACE DE REVISION EN LIGNE

    QUESTION-6-Généralités sur les Fonctions Numériques

    QUESTION 6

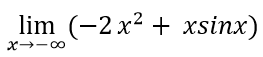
    Donne la limite suivante :

    QUESTION-6-Généralités sur les Fonctions Numériques

    Donne la limite suivante :



     

    -∞

     

    RETOUR AUX QUESTIONS

    Afficher la réponse
    Retour aux Questions
    Retour aux Chapitres
    Retour aux Matières

    © All Copyright 2023 by Eduact