Skip to content

VOTRE ESPACE DE REVISION EN LIGNE

VOTRE ESPACE DE REVISION EN LIGNE

    QUESTION-6-ANALYSE : Limite-Continuité

    QUESTION 6

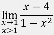
    Déterminer la limite de la fonction suivante:

    QUESTION-6-Analyse : Limite-Continuité

    Déterminer la limite de la fonction suivante :


     

     

    RETOUR AUX QUESTIONS

    Afficher la réponse
    Retour aux Questions
    Retour aux Chapitres
    Retour aux Matières

    © All Copyright 2023 by Eduact