Skip to content

VOTRE ESPACE DE REVISION EN LIGNE

VOTRE ESPACE DE REVISION EN LIGNE

    QUESTION-59-ANALYSE : DERIVABILITE

    QUESTION 59

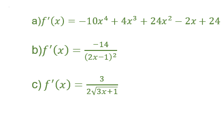
    Calcule la dérivée f'(x) dans chacun des cas suivants :

    QUESTION-59-Analyse : DERIVABILITE

    Calcule la dérivée f'(x) dans chacun des cas suivants :

     


     

    RETOUR AUX QUESTIONS

    Afficher la réponse
    Retour aux Questions
    Retour aux Chapitres
    Retour aux Matières

    © All Copyright 2023 by Eduact