Skip to content

VOTRE ESPACE DE REVISION EN LIGNE

VOTRE ESPACE DE REVISION EN LIGNE

    QUESTION-55-FONCTION EXPONENTIELLE

    QUESTION 55

    Choisis la bonne réponse.

    Soit la fonction f définie sur IR par :

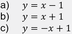
    l’équation de la tangente à la courbe au point d’abscisse 0 est :

    QUESTION-55-FONCTION EXPONENTIELLE

    Choisis la bonne réponse.

    Soit la fonction f définie sur IR par :

    l’équation de la tangente à la courbe au point d’abscisse 0 est :


     

    RETOUR AUX QUESTIONS

    Afficher la réponse
    Retour aux Questions
    Retour aux Chapitres
    Retour aux Matières

    © All Copyright 2023 by Eduact