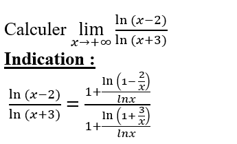
QUESTION 5QUESTION-5-Fonction Logarithme Népérien (Tle S) RETOUR AUX QUESTIONS Afficher la réponse Retour aux Questions Retour aux Chapitres Retour aux Matières