Skip to content

VOTRE ESPACE DE REVISION EN LIGNE

VOTRE ESPACE DE REVISION EN LIGNE

    QUESTION-48-Les nombres complexes

    QUESTION 48

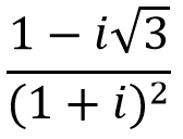
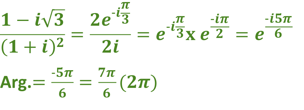
    Le nombre complexe :

    est de module 1 et l’un de ses arguments est :

    QUESTION-48-Les nombres complexes

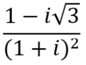
    Le nombre complexe :

    est de module 1 et l’un de ses arguments est :



     

    RETOUR AUX QUESTIONS

    Afficher la réponse
    Retour aux Questions
    Retour aux Chapitres
    Retour aux Matières

    © All Copyright 2023 by Eduact