QUESTION 44
Recopier puis compléter la phrase suivante :
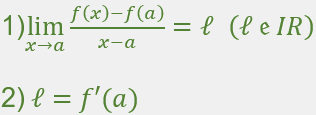
Une fonction f définie sur un intervalle ouvert I est dérivable en un réel a de I signifie que..① Et on note ce réel…②
QUESTION-44-Analyse : Limite-Continuité
Recopier puis compléter la phrase suivante :
Une fonction f définie sur un intervalle ouvert I est dérivable en un réel a de I signifie que..① Et on note ce réel…②
