Skip to content

VOTRE ESPACE DE REVISION EN LIGNE

VOTRE ESPACE DE REVISION EN LIGNE

    QUESTION-42-ANALYSE : Limite-Continuité

    QUESTION 42

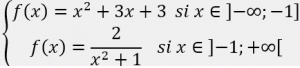
    On considère la fonction f définie sur IR par:

    Etudie la continuité de f en -1.

    QUESTION-42-Analyse : Limite-Continuité

    On considère la fonction f définie sur IR par:

    Etudie la continuité de f en -1.

     


     

     

    RETOUR AUX QUESTIONS

    Afficher la réponse
    Retour aux Questions
    Retour aux Chapitres
    Retour aux Matières

    © All Copyright 2023 by Eduact