Skip to content

VOTRE ESPACE DE REVISION EN LIGNE

VOTRE ESPACE DE REVISION EN LIGNE

    QUESTION-41-ANALYSE : Limite-Continuité

    QUESTION 41

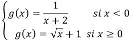
    Etudie la continuité en 0 de la fonction g définie sur IR par :

    QUESTION-41-Analyse : Limite-Continuité

    Etudier la continuité en 0 de la fonction g définie sur IR par :


     

     

    RETOUR AUX QUESTIONS

    Afficher la réponse
    Retour aux Questions
    Retour aux Chapitres
    Retour aux Matières

    © All Copyright 2023 by Eduact