QUESTION 40
Choisis la bonne réponse.
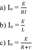
Un générateur de f.e.m (E ), de résistance r alimente un dipôle (R,L). L’intensité du courant en régime permanent a pour expression :

QUESTION 40-Induction magnétique – Etude d’un dipôle (r, l)
Choisis la bonne réponse.
Un générateur de f.e.m (E ), de résistance r alimente un dipôle (R,L). L’intensité du courant en régime permanent a pour expression :


