Skip to content

VOTRE ESPACE DE REVISION EN LIGNE

VOTRE ESPACE DE REVISION EN LIGNE

    QUESTION-4-PROBABILITE : Dénombrement

    QUESTION 4

    n et p sont deux entiers naturels non nuls tels que :

    Quel est le nombre d’arrangements à p éléments d’un ensemble à n éléments ?

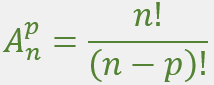
    QUESTION-4-PROBABILITE : Dénombrement

    n et p sont deux entiers naturels non nuls tels que :

    Quel est le nombre d’arrangements à p éléments d’un ensemble à n éléments ?

     


     

     

    RETOUR AUX QUESTIONS

    Afficher la réponse
    Retour aux Questions
    Retour aux Chapitres
    Retour aux Matières

    © All Copyright 2023 by Eduact