Skip to content

VOTRE ESPACE DE REVISION EN LIGNE

VOTRE ESPACE DE REVISION EN LIGNE

    QUESTION-39-ANALYSE : Limite-Continuité

    QUESTION 39

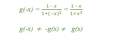
    Soit la fonction g définie par :

    Etudier la parité de g.

    QUESTION-39-Analyse : Limite-Continuité

    Soit la fonction g définie par :

    Etudier la parité de g.

     


     

    RETOUR AUX QUESTIONS

    Afficher la réponse
    Retour aux Questions
    Retour aux Chapitres
    Retour aux Matières

    © All Copyright 2023 by Eduact