Skip to content

VOTRE ESPACE DE REVISION EN LIGNE

VOTRE ESPACE DE REVISION EN LIGNE

    QUESTION-38-ANALYSE : Limite-Continuité

    QUESTION 38

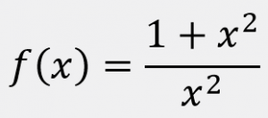
    Soit f la fonction définie par

    Etudier la parité de f.

    QUESTION-38-Analyse : Limite-Continuité

    Soit f la fonction définie par

    Etudier la parité de f.

     


     

     

    RETOUR AUX QUESTIONS

    Afficher la réponse
    Retour aux Questions
    Retour aux Chapitres
    Retour aux Matières

    © All Copyright 2023 by Eduact