Skip to content

VOTRE ESPACE DE REVISION EN LIGNE

VOTRE ESPACE DE REVISION EN LIGNE

    QUESTION-37-Fonction exponentielle

    QUESTION 37

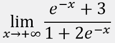
    Calcule la limite de

    QUESTION-37-Fonction exponentielle

    Calcule la limite de



     

     

    RETOUR AUX QUESTIONS

    Afficher la réponse
    Retour aux Questions
    Retour aux Chapitres
    Retour aux Matières

    © All Copyright 2023 by Eduact