Skip to content

VOTRE ESPACE DE REVISION EN LIGNE

VOTRE ESPACE DE REVISION EN LIGNE

    QUESTION-36-Les nombres complexes

    QUESTION 36

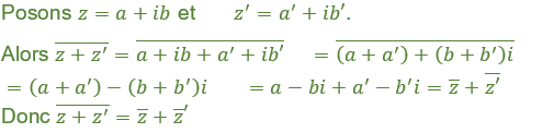
    Pour tout nombre complexe :

    Démontrer que :

    QUESTION-36-Les nombres complexes

    Pour tout nombre complexe :

    Démontrer que :



     

     

    RETOUR AUX QUESTIONS

    Afficher la réponse
    Retour aux Questions
    Retour aux Chapitres
    Retour aux Matières

    © All Copyright 2023 by Eduact