Skip to content

VOTRE ESPACE DE REVISION EN LIGNE

VOTRE ESPACE DE REVISION EN LIGNE

    QUESTION-36-Fonction exponentielle

    QUESTION 36

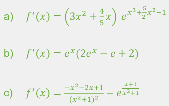
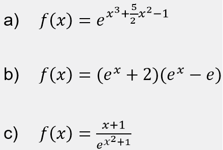
    Dans chacun des cas suivants, donne la dérivée de f’ de f.

    QUESTION-36-Fonction exponentielle

    Dans chacun des cas suivants, donne la dérivée de f’ de f.



     

     

    RETOUR AUX QUESTIONS

    Afficher la réponse
    Retour aux Questions
    Retour aux Chapitres
    Retour aux Matières

    © All Copyright 2023 by Eduact