QUESTION 33
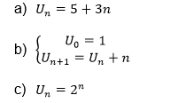
Pour chacune des suites suivantes, déterminer s’il s’agit d’une suite arithmétique, géométrique ou ni arithmétique ni géométrique.

QUESTION-33-Suites numériques
Pour chacune des suites suivantes, déterminer s’il s’agit d’une suite arithmétique, géométrique ou ni arithmétique ni géométrique.

