QUESTION 33
On considère la suite
définie pour tout entier naturel n par :

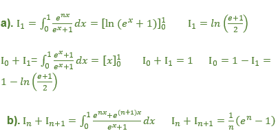
a) Calculer
en déduire 
b) Exprimer
![]()
pour tout entier naturel non nul n.
QUESTION-33-Calcul intégral
On considère la suite
définie pour tout entier naturel n par :

a) Calculer
en déduire 
b) Exprimer
![]()

