Skip to content

VOTRE ESPACE DE REVISION EN LIGNE

VOTRE ESPACE DE REVISION EN LIGNE

    QUESTION-32-Calcul intégral

    QUESTION 32

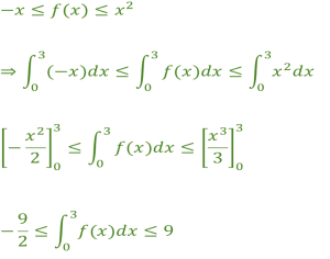
    Sachant que, pour tout

    donner un encadrement de l’intégrale :

    QUESTION-32-Calcul intégral

    Sachant que, pour tout

    donner un encadrement de l’intégrale :



     

     

    RETOUR AUX QUESTIONS

    Afficher la réponse
    Retour aux Questions
    Retour aux Chapitres
    Retour aux Matières

    © All Copyright 2023 by Eduact