Skip to content

VOTRE ESPACE DE REVISION EN LIGNE

VOTRE ESPACE DE REVISION EN LIGNE

    QUESTION-32-ANALYSE : Limite-Continuité

    QUESTION 32

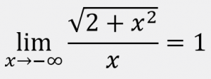
    Vrai ou faux ?

    QUESTION-32-Analyse : Limite-Continuité

    Vrai ou faux ?

     


     

    Faux, car

     

    RETOUR AUX QUESTIONS

    Afficher la réponse
    Retour aux Questions
    Retour aux Chapitres
    Retour aux Matières

    © All Copyright 2023 by Eduact