QUESTION 30
Choisissez la bonne réponse.
Une particule de charge q positive, accélérée par une d.d.p U, acquiert une vitesse V dont l’expression est :

QUESTION-30-Mouvement d’une particule chargée dans un champ magnétique uniforme
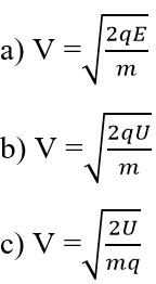
Choisissez la bonne réponse.
Une particule de charge q positive, accélérée par une d.d.p U, acquiert une vitesse V dont l’expression est :
