Skip to content

VOTRE ESPACE DE REVISION EN LIGNE

VOTRE ESPACE DE REVISION EN LIGNE

    QUESTION-30-Calcul intégral

    QUESTION 30

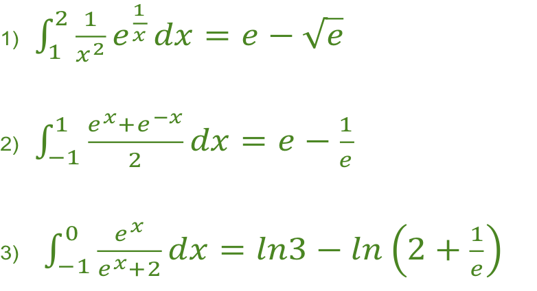
    Calcule chacune des intégrales suivantes :

    QUESTION-30-Calcul intégral

    Calcule chacune des intégrales suivantes :



     

     

    RETOUR AUX QUESTIONS

    Afficher la réponse
    Retour aux Questions
    Retour aux Chapitres
    Retour aux Matières

    © All Copyright 2023 by Eduact