Skip to content

VOTRE ESPACE DE REVISION EN LIGNE

VOTRE ESPACE DE REVISION EN LIGNE

    QUESTION-29-Fonction exponentielle

    QUESTION 29

    QUESTION-29-Fonction exponentielle



     

    RETOUR AUX QUESTIONS

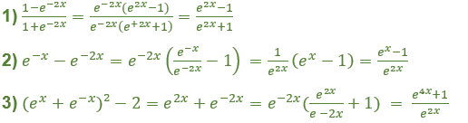
    Afficher la réponse
    Retour aux Questions
    Retour aux Chapitres
    Retour aux Matières

    © All Copyright 2023 by Eduact