QUESTION 28
Choisissez la bonne réponse.
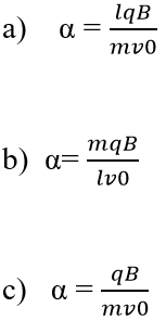
La déviation angulaire, pour un angle faible, a pour expression :
QUESTION-28-Mouvement d’une particule chargée dans un champ magnétique uniforme
Choisissez la bonne réponse.
La déviation angulaire, pour un angle faible, a pour expression :

