Skip to content

VOTRE ESPACE DE REVISION EN LIGNE

VOTRE ESPACE DE REVISION EN LIGNE

    QUESTION-28-Généralités sur les Fonctions Numériques

    QUESTION 28

    QUESTION-28-Généralités sur les Fonctions Numériques



     

    RETOUR AUX QUESTIONS

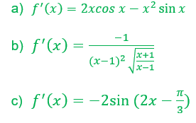
    Afficher la réponse
    Retour aux Questions
    Retour aux Chapitres
    Retour aux Matières

    © All Copyright 2023 by Eduact