Skip to content

VOTRE ESPACE DE REVISION EN LIGNE

VOTRE ESPACE DE REVISION EN LIGNE

    QUESTION-27-Calcul intégral

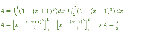
    QUESTION 27

    Calculer :

    Indication : utiliser la relation de Chasles

    QUESTION-27-Calcul intégral

    Calculer :

    Indication : utiliser la relation de Chasles



     

     RETOUR AUX QUESTIONS

    Afficher la réponse
    Retour aux Questions
    Retour aux Chapitres
    Retour aux Matières

    © All Copyright 2023 by Eduact