Skip to content

VOTRE ESPACE DE REVISION EN LIGNE

VOTRE ESPACE DE REVISION EN LIGNE

    QUESTION-26- Fonction Logarithme Népérien (Tle S)

    QUESTION 26

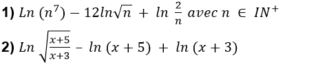
    Simplifier les expressions suivantes :

    QUESTION-26-Fonction Logarithme Népérien (Tle S)

    Simplifie les expressions suivantes :



     

    RETOUR AUX QUESTIONS

    Afficher la réponse
    Retour aux Questions
    Retour aux Chapitres
    Retour aux Matières

    © All Copyright 2023 by Eduact