Skip to content

VOTRE ESPACE DE REVISION EN LIGNE

VOTRE ESPACE DE REVISION EN LIGNE

    QUESTION-26-Calcul intégral

    QUESTION 26

    Réponds par vrai ou faux.

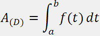
    « Si la fonction F est continue et négative sur alors l’aire du domaine D est :

    QUESTION-26-Calcul intégral

    Réponds par vrai ou faux.

    « Si la fonction F est continue et négative sur alors l’aire du domaine D est :



     

     

    RETOUR AUX QUESTIONS

    Afficher la réponse
    Retour aux Questions
    Retour aux Chapitres
    Retour aux Matières

    © All Copyright 2023 by Eduact