Skip to content

VOTRE ESPACE DE REVISION EN LIGNE

VOTRE ESPACE DE REVISION EN LIGNE

    QUESTION-26-ANALYSE : Limite-Continuité

    QUESTION 26

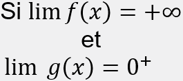
    Alors quelle est la limite de

    QUESTION-26-Analyse : Limite-Continuité

     

    Alors quelle est la limite de


     

     

    RETOUR AUX QUESTIONS

    Afficher la réponse
    Retour aux Questions
    Retour aux Chapitres
    Retour aux Matières

    © All Copyright 2023 by Eduact