Skip to content

VOTRE ESPACE DE REVISION EN LIGNE

VOTRE ESPACE DE REVISION EN LIGNE

    QUESTION-25-Suites numériques

    QUESTION 25

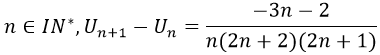
    Soit (UN) la suite définie sur IN* par1) Montrer que tout2) En déduire le sens de variation de la suite (UN) ;

    3) Etablir alors que (UN) est suite convergente.

    QUESTION-25-Suites numériques

    Soit (UN) la suite définie sur IN* par1) Montrer que tout2) En déduire le sens de variation de la suite (UN) ;

    3) Etablir alors que (UN) est suite convergente.



    RETOUR AUX QUESTIONS

    Afficher la réponse
    Retour aux Questions
    Retour aux Chapitres
    Retour aux Matières

    © All Copyright 2023 by Eduact