Skip to content

VOTRE ESPACE DE REVISION EN LIGNE

VOTRE ESPACE DE REVISION EN LIGNE

    QUESTION-23-Suites numériques

    QUESTION 23

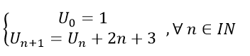
    On considère la suite (UN) définie par :

    1) Etudier la monotonie de (UN) ;

    2) Démontrer par récurrence que pour tout entier naturel n,

    QUESTION-23-Suites numériques

    On considère la suite (UN) définie par:

    1) Etudier la monotonie de (UN) ;

    2) Démontrer par récurrence que pour tout entier naturel n,



     

    RETOUR AUX QUESTIONS

    Afficher la réponse
    Retour aux Questions
    Retour aux Chapitres
    Retour aux Matières

    © All Copyright 2023 by Eduact