Skip to content

VOTRE ESPACE DE REVISION EN LIGNE

VOTRE ESPACE DE REVISION EN LIGNE

    QUESTION-22-Fonction Logarithme Népérien (Tle S)

    QUESTION 22

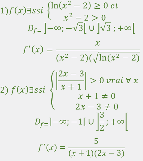
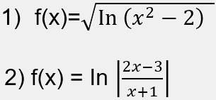
    Détermine l’ensemble de définition et leur délivrée des fonctions suivantes :

    QUESTION-22-Fonction Logarithme Népérien (Tle S)

    Résoudre dans IR, les équations suivantes :



     

     

    RETOUR AUX QUESTIONS

    Afficher la réponse
    Retour aux Questions
    Retour aux Chapitres
    Retour aux Matières

    © All Copyright 2023 by Eduact