QUESTION 21
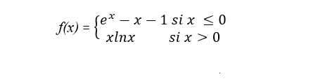
Soit la fonction f définie par :

a- Etudier la continuité de f en 0
b- Etudier la dérivabilité de f en 0
QUESTION-21-Fonction exponentielle
Soit la fonction f définie par :
a- Etudier la continuité de f en 0.
b- Etudier la dérivabilité de f en 0
