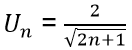
QUESTION 20Choisis la bonne réponse.La suite (UN), n’appartenant à N est définie par :a) est croissante sur IN ;b) est décroissante sur IN;c) n’est ni croissante, ni décroissante sur IN.QUESTION-20-Suites numériquesChoisis la bonne réponse.La suite (UN), n’appartenant à N est définie par :a) est croissante sur IN ;b) est décroissante sur IN ;c) n’est ni croissante, ni décroissante sur IN. b) décroissante sur IN RETOUR AUX QUESTIONS Afficher la réponse Retour aux Questions Retour aux Chapitres Retour aux Matières