Skip to content

VOTRE ESPACE DE REVISION EN LIGNE

VOTRE ESPACE DE REVISION EN LIGNE

    QUESTION-20-Mouvement d’une particule chargée dans un champ magnétique uniforme

    QUESTION 20

    Choisissez la bonne réponse.

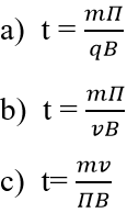
    Dans le cyclotron, la durée d’un demi-tour vaut :

    QUESTION-20-

    Choisissez la bonne réponse.

    Dans le cyclotron, la durée d’un demi-tour vaut :

     


     

     

    RETOUR AUX QUESTIONS

    Afficher la réponse
    Retour aux Questions
    Retour aux Chapitres
    Retour aux Matières

    © All Copyright 2023 by Eduact