Skip to content

VOTRE ESPACE DE REVISION EN LIGNE

VOTRE ESPACE DE REVISION EN LIGNE

    QUESTION-19-ALGEBRE : Factorisation polynômes

    QUESTION 19

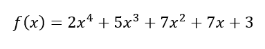
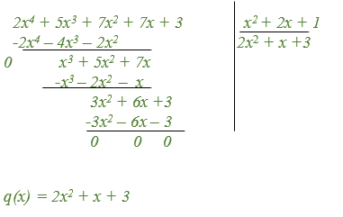
    Soit: 

    et 

    Trouver le polynôme  tel que :

     

    QUESTION-19-ALGEBRE : Composition des Applications

    Soit : 

    et 

    Trouver le polynôme  tel que :


     

    RETOUR AUX QUESTIONS

    Afficher la réponse
    Retour aux Questions
    Retour aux Chapitres
    Retour aux Matières

    © All Copyright 2023 by Eduact