Skip to content

VOTRE ESPACE DE REVISION EN LIGNE

VOTRE ESPACE DE REVISION EN LIGNE

    QUESTION-18-Fonction exponentielle

    QUESTION 18

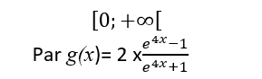
    Soit g la fonction définie sur

    a) Calculer la limite de la fonction g en +∞
    b) Calculer la dérivée g’ de g.

     

    QUESTION-18-Fonction exponentielle

    Soit g la fonction définie sur

    a) Calculer la limite de la fonction g en +∞
    b) Calculer la dérivée g’ de g.

     


     

     

    RETOUR AUX QUESTIONS

    Afficher la réponse
    Retour aux Questions
    Retour aux Chapitres
    Retour aux Matières

    © All Copyright 2023 by Eduact