QUESTION 17
Choisissez la bonne réponse.
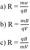
Le rayon de la trajectoire du mouvement d’une particule soumise à la seule force de LORENTZ est :
QUESTION-17-Mouvement d’une particule chargée dans un champ magnétique uniforme
Choisissez la bonne réponse.
Le rayon de la trajectoire du mouvement d’une particule soumise à la seule force de LORENTZ est :

