Skip to content

VOTRE ESPACE DE REVISION EN LIGNE

VOTRE ESPACE DE REVISION EN LIGNE

    QUESTION-17- Fonction Logarithme Népérien (Tle S)

    QUESTION 17

    QUESTION-17-FONCTION LOGARITHME NEPERIEN (Tle S)



     

    RETOUR AUX QUESTIONS

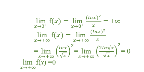
    Afficher la réponse
    Retour aux Questions
    Retour aux Chapitres
    Retour aux Matières

    © All Copyright 2023 by Eduact