Skip to content

VOTRE ESPACE DE REVISION EN LIGNE

VOTRE ESPACE DE REVISION EN LIGNE

    QUESTION-16- Fonction Logarithme Népérien (Tle S)

    QUESTION 16

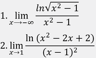
    Calculer les limites suivantes :

    QUESTION-16-Fonction Logarithme Népérien (Tle S)

    Calculer les limites suivantes :



     

     

    RETOUR AUX QUESTIONS

    Afficher la réponse
    Retour aux Questions
    Retour aux Chapitres
    Retour aux Matières

    © All Copyright 2023 by Eduact