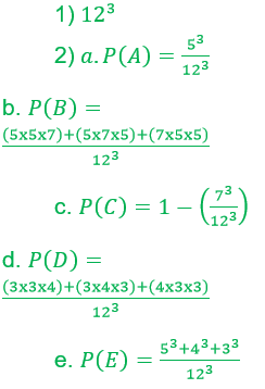
QUESTION 15

Une urne contient 5 boules rouges, 4 boules noires et 3 boules vertes.

On tire 3 boules dans cette urne, successivement, en remettant chaque boule tirée dans l’urne avant de prendre les suivantes :

1- Quel est le nombre de tirages possibles ?

2- Calculer la probabilité :

a) d’obtenir 3 boules rouges ;

b) d’obtenir 2 boules rouges exactement;

c) d’obtenir au moins une boule rouge ;

d) d’obtenir 2 boules vertes et une noire;

e) d’obtenir 3 boules de la même couleur.