Skip to content

VOTRE ESPACE DE REVISION EN LIGNE

VOTRE ESPACE DE REVISION EN LIGNE

    QUESTION-13-ANALYSE : Limite-Continuité

    QUESTION 13

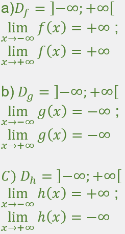
    Pour chacune des fonctions suivantes donner le domaine de définition et la limite à l’infini.

    QUESTION-13-Analyse : Limite-Continuité

    Pour chacune des fonctions suivantes donner le domaine de définition et la limite à l’infini.


     

     

    RETOUR AUX QUESTIONS

    Afficher la réponse
    Retour aux Questions
    Retour aux Chapitres
    Retour aux Matières

    © All Copyright 2023 by Eduact