Skip to content

VOTRE ESPACE DE REVISION EN LIGNE

VOTRE ESPACE DE REVISION EN LIGNE

    QUESTION-10-Induction magnétique – Etude d’un dipôle (r, l)

    QUESTION 10

    Choisis la bonne réponse.

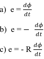
    Si ϕ est le flux magnétique l’expression de la f.e.m induite est :

    QUESTION 10-Induction magnétique – Etude d’un dipôle (r, l)

    Choisis la bonne réponse.

    Si ϕ est le flux magnétique l’expression de la f.e.m induite est :


     

    RETOUR AUX QUESTIONS

    Afficher la réponse
    Retour aux Questions
    Retour aux Chapitres
    Retour aux Matières

    © All Copyright 2023 by Eduact